The Use of Baluns for Measurements
Avec la contribution de Convergence Promotions LLC
2010-12-22
When measuring the characteristics of antennas that are mounted on small groundplanes, the results are affected by the presence of the connecting coaxial cable. This article examines the reasons and describes and quantifies the use of sleeve chokes (baluns) to reduce this error.

Most engineers will recognize that it is not good practice to directly connect a simple dipole antenna (a fundamentally balanced and symmetrical structure) to a coaxial feed cable; yet when pressed as to why this is undesirable, they are vague about the reasons.
The simplest explanation is seen in Figure 1. Here we see a dipole connected to a coaxial cable. The symmetrical construction gives rise to equal capacitive reactances between each limb of the dipole and the outer conductor of the coaxial cable. The problem arises from the fact that, with the arrangement illustrated, the voltages which exist across the two capacitances – and therefore the current which will flow through them – are not equal. In Figure 1, the limb on the left is directly connected to the outer conductor, so, at least in the regions close to the cable, the relative potential is small, while on the right the full driving point voltage exists between the inner end of the dipole limb and the outer conductor of the cable.
As the currents inside the cable on the inner and outer conductors must be equal, the difference between the currents in the two capacitances must be supported by a current flowing along the outside of the cable. The dipole now supports two current modes, a push-pull current (the expected mode) and a push-push current, which represents the unwanted mode introduced by the method of connection (Figure 2). The external current on the outer conductor of the cable will create radiated fields which degrade the null in the classical dipole pattern and reduce the cross polar discrimination of the dipole; the presence of the current will also modify the input impedance measured at the cable input. If the cable is flexible, then all these effects will vary as the configuration of the cable – especially the part close to the antenna – is varied.


Unbalanced antennas
Following the description above, it might be assumed that there is no problem when we connect an unbalanced antenna to a coaxial cable. This is only true in situations in which the point at which the cable is connected does not carry RF currents or voltages; if it does, then the connection of the cable will modify those currents and some of them will flow onto the cable outer conductor. Just as in the previous example, the electrical properties of the device are modified by the presence of the cable; the smaller the device (in terms of wavelengths), the more significant the effect of the cable. If we are measuring a device that will normally be used without a cable, such as a handset, we may obtain a completely false impression of the performance of its antenna. We may also notice that in the case of small unbalanced antennas the current flowing on the cable outer could be much larger than that in the balanced/unbalanced example.
At the lower end of the spectrum, many supposedly ‘small’ MF and HF antennas have been found to depend heavily on using radiation from the connecting cable rather than from the small ‘antenna.’ The essentially random configuration of the connecting cable, including its relationship to ground, makes this entirely unacceptable.
We can suppress these unwanted currents by introducing a high impedance in the path of the currents on the cable outer conductor – the same device that we could use in the balanced/unbalanced situation we have already examined. In both cases, we should avoid devices which may simply dissipate the power associated with the unwanted current; while these may restore the radiation pattern and polarization purity of the antenna, the gain (efficiency) will be reduced.
The most popular solution is to connect a quarter-wavelength sleeve to the feed cable, a device variously known as a sleeve balun, bazooka balun or sleeve choke [2]. Ferrite beads can provide an alternative solution, but they are lossy at higher frequencies, so they will reduce the apparent gain of the device under test (DUT).
Designing a sleeve balun for measurement use
A typical sleeve balun is shown in Figure 3, which identifies the available parameters, its length L, the radius of the cable outer conductor R1, the radius of the sleeve R2, and the thickness of the sleeve T. Figure 3 also identifies the positions of field probes which are used in the course of analysis using FDTD code. From simple transmission line theory, the impedance presented to the surface current on the cable will be that of a simple short-circuit series stub, Zs = Z0 tan ßl, where Z0 is determined from the ratio of the two radii R1 and R2 as usual. Unfortunately, we usually need to make measurements over some extended frequency band, and it is obvious that the sleeve will have a high impedance (approaching infinity) at only one frequency. We can ensure that the balun is as effective as possible over a chosen band by choosing as high a value for its Z0 as possible, but this process is limited because the balun will present an increasingly large scatterer and its physical presence will modify the field distribution around the DUT. The coaxial cable can be chosen to be as small as possible, but the cable needs to be robust enough to resist damage when it is repeatedly connected and disconnected.

As with many structures of this kind there is a shortening effect caused by fringing fields at the open circuit end of the sleeve; as the sleeve becomes wider we would expect that the length required to obtain a quarter-wave resonance will decrease.
Simulation
Figure 3 shows the arrangement used when the balun was simulated using the body of revolution FDTD method [4]. An input current pulse was introduced at the point marked EXC and currents were monitored at the points OBS1 and OBS2. These time domain currents were transformed into the frequency domain with a Fourier transform for post processing. The ratio of these frequency domain currents was then expressed in dB, assuming that the currents flowed in the same impedance. This method may not be rigorous, but it allows us to investigate some interesting dependencies of performance on the chosen dimensions.
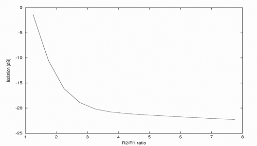
Figure 4 shows the isolation at resonance as a function of the ratio of the sleeve radius to the cable radius. It shows a stable isolation from values of R2/R1 > 3, and no isolation – as would be expected – when R2/R1 = 1. The mechanism leading to the deterioration of isolation for R2/R1 < 3 is not certain, but it is likely that energy is increasingly coupled across the open end of the sleeve by fringing fields.

These curves are useful and confirm our understanding of what is happening, but there are two other factors which will modify the effectiveness of this type of balun. Both relate to the point of attachment to the DUT.
Any connecting cable projecting from the open-circuit end of a balun will act as part of the device to which it is connected. In the example of a handset, the groundplane carries significant radiating currents as shown in Figure 5(a). Attachment of a balun at the lower end of the groundplane as in Figure 5(c) will effectively extend the length of the groundplane, modifying the performance of the antenna.
A more difficult effect to quantify is the effectiveness of the sleeve balun in suppressing currents on the cable outer due to the variation in impedance encountered by currents on the cable at the point of its attachment to the DUT. In Figure 5(c), the balun is attached to what is in effect the high impedance point of a half-wave dipole (the groundplane). This point will have a very high impedance, so placing the (high) impedance of the balun in series with it will have a relatively small effect. In Figure 5(b), the balun is connected near the low impedance point of the groundplane, and in this case, the effect of the balun on the ability of currents to flow on the cable outer is much more significant. Put simply, if we place the sleeve at a point at which there is a current null, its presence will have no effect; for the best effect we need to place it a current maximum on the DUT. This conclusion supports work by Massey & Boyle [3] that for wideband devices it may be worth using alternative connection points in different frequency bands.

Conclusion
The operation and use of sleeve baluns has been described, and important considerations have been highlighted that determine the effectiveness of a balun in a measurement application.
References
- Saario, S A, Lu, J W and Thiel, D V, “Full-wave analysis of the choking characteristics of a sleeve balun on coaxial cables,” Electronics Letters, Vol. 38, No. 7, March 2002, pp. 304 – 305.
- Icheln, C, Krogerus, J, Vainikainen, P, “Use of balun chokes in small-antenna radiation measurements,” IEEE Trans. Inst. and Meas., Vol. 53, No. 2, April 2004.
- Massey, P J, Boyle, K R, “Controlling the effects of feed cable in small antenna measurements,” ICAP2003.
- Saario, S A, “FDTD Modelling For Wireless Communications: Antennas and Materials,” PhD Thesis, Griffith University, Brisbane, Australia, 2003, available at: http://research-hub.griffith.edu.au/display/ne11c684c2155606ff0e3a27943c29d7a.
Avertissement : les opinions, convictions et points de vue exprimés par les divers auteurs et/ou participants au forum sur ce site Web ne reflètent pas nécessairement ceux de DigiKey ni les politiques officielles de la société.

